0000-00
Makale, "Yalıtım Malzemeleri" kaynağından alınmıştır

Çift eksenli yönlendirilmiş polipropilen (BOPP) kapasitör filmi, metalize ince film kapasitörlerde çekirdek dielektrik malzeme olarak görev yapar ve yüzey özellikleri doğrudan kapasitörlerin güvenilirliğini ve ömrünü belirler. BOPP kapasitör filmleri için kritik bir son işlem adımı olan korona işlemi, yüzey performansını önemli ölçüde iyileştirir, ancak filmin yapısı ve elektriksel özellikleri üzerindeki kapsamlı etkileri hala net değildir. Quanzhou Jiadeli Electronic Materials Co., Ltd.'den Wang Jinqing ve arkadaşları, *Yalıtım Malzemeleri* dergisinin 2025 yılı 10. sayısında yayınlanan "Çift Eksenli Yönlendirilmiş Polipropilen Kapasitör Filmlerinin Yapısı ve Performansı Üzerine Korona İşleminin Etkisi" başlıklı çalışmalarında, korona işlemi yoğunluğunun BOPP kapasitör filmlerinin fiziksel yapısı, kimyasal yapısı, yüzey enerjisi ve elektriksel özellikleri üzerindeki etki mekanizmalarını açıklamak için sistematik deneyler gerçekleştirdiler.
Araştırma Arka Planı ve Amaçlar
BOPP kapasitör filmleri, yüksek elektriksel dayanım (>500 V/μm) ve mükemmel kendini iyileştirme özellikleri nedeniyle yeni enerjili araçlar ve akıllı şebekelerde yaygın olarak kullanılmaktadır. Ancak, polipropilenin polar olmayan moleküler zincirleri, düşük yüzey enerjisi ve metal kaplamaların zayıf yapışmasına neden olur. Korona işlemi, plazma bombardımanı yoluyla film yüzeyine polar gruplar ekleyerek yüzey enerjisini artırmak için yaygın bir tekniktir. Bu çalışma, korona işlemi yoğunluğunun (0 W, 15 W, 30 W min/m²) BOPP kapasitör filmlerinin mikro yapısı ve makroskopik özellikleri üzerindeki etkilerini sistematik olarak analiz ederek, yüksek performanslı kapasitör filmlerinin proses optimizasyonu için bir temel sağlamaktadır.

Şekil 1 Film korona işlem sürecinin şematik diyagramı
Deneysel Tasarım ve Yöntemler
Bu çalışma, endüstriyel çift eksenli yönlendirilmiş üretim hatlarında 2.4 μm kalınlığında BOPP ultra ince filmlerin hazırlanmasını araştırmaktadır, sabit çekme proses parametreleri ile yalnızca korona yoğunluğu ayarlanmıştır:
Örnek gruplandırma: 0 W (korona yok), 15 W, 30 W korona işlemi.
Temsil:
▪Kristal yapı:Diferansiyel taramalı kalorimetri (DSC) erime eğrisi ve kristaliniteyi analiz etmek için kullanıldı.
▪Yüzey morfolojisi:Yüzey pürüzlülüğü (Ra, Rz, Sz) 3D optik profilometre ile ölçüldü.
▪Kimyasal yapı: Fourier dönüşümü kızılötesi spektroskopisi (FTIR) polar grupları tespit etmek için kullanıldı.
▪Performans testi: yüzey ıslanma gerilimi, mekanik özellikler, dielektrik spektrum, DC elektriksel dayanım (Weibull dağılımı uyumu).

Tek Direkli Şekillendirme Makinesi


Bu ekipman, transformatör destek çubuklarının pah kırılması için kullanılır. T şeklinde, kuyruklu, kırlangıç kuyruklu, dikdörtgen ve diğer kombinasyon şekillerde destek çubukları işleyebilir.
Korona İşleminin İnce Film Yapısı Üzerindeki Etkisi
1. Fiziksel yapı:Yüzey morfolojisinin değişimi, kararlı kristal yapı
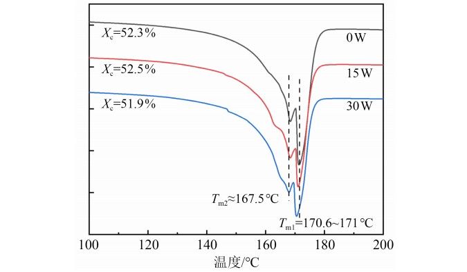
(1) Kristal yapının tutarlılığı:DSC sonuçları, üç filmin kristalinitelerinin yaklaşık %52 olduğunu ve erime tepe noktası konumunun (Tm1≈170.6 C, Tm2≈167.5 C) önemli bir değişiklik göstermediğini, korona işleminin filmlerin kristal yapısını değiştirmediğini göstermektedir.
(2) Yüzey pürüzlülüğünün azalması: Korona işlemi, filmin korona alıcı yüzeyinde (CR yüzeyi) fiziksel bombardıman indükler, bu da yüzey mikro yapı yüksekliğinde bir azalmaya neden olur. Örneğin, 30 W korona işlemli filmin on noktalı yüksekliği (Sz) 0 W'da 860.8 nm'den 709.6 nm'ye (%17.6 azalma) düşerken, aritmetik ortalama yükseklik (Rz) %11.4 azalmıştır. Buna karşılık, hava bıçağı yüzeyinin (AK yüzeyi) pürüzlülüğü önemli bir değişiklik göstermemiştir, bu da korona işleminin lokal etkisini vurgulamaktadır.

Şekil 2 Farklı korona yoğunluklarına sahip filmlerin DSC erime eğrileri
2. Kimyasal yapı: Polar grupların eklenmesi, yüzey enerjisinde artışa neden olur
FTIR spektrumları, korona işleminin film yüzeyinde çoklu polar bağlar oluşturduğunu ortaya çıkardı.
(1) Karakteristik tepe noktaları: 1000~1300 cm⁻¹'de bir C-O bağı gerilme titreşim tepe noktası, 1600~1800 cm⁻¹'de bir karbonil (C=O) tepe noktası, 3200~3600 cm⁻¹'de bir hidroksil (-OH) tepe noktası ve 940 cm⁻¹'de küçük bir epoksi grup tepe noktası görülür.
(2) Yoğunluk korelasyonu: Korona deşarj yoğunluğunun artması, polar tepe noktasının alanının artmasına neden olur, bu da daha yüksek korona yoğunluğunun daha yüksek bağ enerjisine sahip daha fazla polar grup ekleyebileceğini ve temelde film yüzeyinin kimyasal aktivitesini iyileştirebileceğini gösterir.

Şekil 3 Farklı korona yoğunluklarına sahip filmlerin FTIR spektrumları
Korona İşleminin İnce Filmin Özellikleri Üzerindeki Etkisi
1. Yüzey Islanma Gerilimi ve Proses Performansı
(1) Islanma geriliminde önemli artış:Damla testleri yoluyla, 0 W, 15 W ve 30 W filmlerin ıslanma gerilimleri sırasıyla <30 mN/m, <36 mN/m ve <42 mN/m olarak ölçülmüştür. Korona işlemi, damla yayılmasını kolaylaştırarak yüzey enerjisinde bir artış gösterdi.
(2) Sarım verimliliğinin iyileştirilmesi: Korona işlemi uygulanmamış filmler düşük yüzey enerjisi gösterir, bu da sarım sırasında kolayca kaymaya veya hatta hasara neden olabilir. Buna karşılık, korona işlemi uygulanmış filmler, artan yapışma ile daha sıkı sarım sağlar ve üretim güvenliğini garanti eder.

Şekil 4 Farklı korona yoğunluklarına sahip filmlerin yüzey ıslanma gerilimi karşılaştırma testi
(3) Mekanik özellikler kararlıdır:Korona işleminin filmin çekme dayanımı, uzama ve modülü üzerinde belirgin bir etkisi yoktur, bu da modifikasyonun yalnızca yüzey katmanı ile sınırlı olduğunu gösterir.

Şekil 5 Farklı korona yoğunluklarına sahip filmlerin mekanik özellikleri
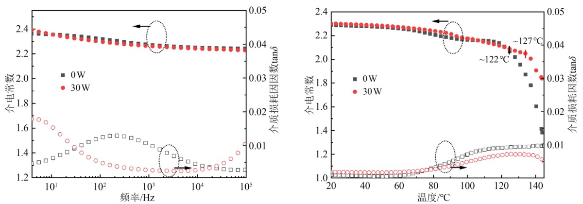
2.Dielektrik özellikler: Yüksek sıcaklıkta bozulmanın gecikmesi
30 W korona filminin dielektrik sabiti oda sıcaklığında 2.2~2.4 arasında sabittir. 30 W korona filminin dielektrik sabiti 120℃ ve üzerinde daha yavaş azalır ve dielektrik kayıp tepe noktası gecikmeli olarak değişir, bu da polar grupların 30 W korona filminin yüksek sıcaklıktaki dielektrik stabilitesini iyileştirdiğini gösterir.

Şekil 6 (a) Korona işlemi uygulanmamış ve 30 W korona işlemi uygulanmış filmlerin oda sıcaklığında frekansa bağlı dielektrik spektrumları ve (b) sıcaklığa bağlı dielektrik spektrumları
(1) Oda sıcaklığında elektriksel dayanımda minimal değişim: Üç filmin Weibull dağılım parametresi α (karakteristik elektriksel dayanım) ±5 V/μm içinde dalgalanır.
(2) Yüksek sıcaklık performansında zayıf iyileşme: 100℃'te, 30 W korona işlemli filmin elektriksel dayanımı, işlem görmemiş filmden yaklaşık 17 V/μm daha yüksektir, bu da polar gruplar tarafından yük tutma için tanıtılan derin seviye tuzaklarına atfedilir.
(3) Azalan stabilite: Korona işlemi, Weibull parametresi β'yi (dağılım) 7.96'dan (0 W) 4.43'e (30 W) düşürdü, bu da daha dağınık bir elektriksel dayanım dağılımını gösterir. Analizler, az sayıda güçlü tuzakların düzensiz elektrik alan dağılımına neden olduğunu ve alan bozulmasına yol açtığını göstermektedir.

Şekil 7 Elektriksel dayanımın Weibull dağılımı uyumu: (a) oda sıcaklığında, (b) 100°C'de
Araştırma sonucu ve mühendislik önemi
(1) Yapısal etkiler: Korona işlemi kristal yapıyı değiştirmez ancak korona yüzeyinin fiziksel yüksekliğini azaltır; C-O ve C=O gibi polar bağlar ekleyerek kimyasal yapıyı önemli ölçüde değiştirir.
(2) Performans dengesi:
▪Avantajlar:Islanma gerilimini artırır (metalizasyon yapışmasını ve sarım güvenliğini sağlar) ve yüksek sıcaklık dielektrik bozulmasını geciktirir.
▪Risk: Elektriksel dayanım dağılımı artar, bu da uzun vadeli stabiliteyi etkiler.
(3) Proses önerileri: Korona yoğunluğu, yüzey enerjisi iyileştirmesi ile elektriksel stabilite arasında denge sağlamak için optimize edilmeli, aşırı işlemden kaçınılmalıdır.
Bu çalışma, BOPP kapasitör filmlerinin performansını artırmak için kritik veri desteği sağlamakta ve korona işlemi ile diğer modifikasyon teknikleri arasındaki sinerjik etkilerin gelecekteki keşfi için yol açmaktadır.
Gao Mi Hong Xiang Electromechanical Technology Co., Ltd., küresel müşteri hizmetlerinde uzmanlaşmış bir özel girişimdir. Şirket, güç transformatörü montaj imalatı, elektrik yalıtım kartonu, yalıtım lamine ahşabı ve yalıtım bileşeni işleme olmak üzere üç temel ürün hattı sunmaktadır, ayrıca EVA kalıplama hizmetleri ve AI destekli özel makine imalatını desteklemektedir. Kapsamlı bir sağlayıcı olarak, Ar-Ge tasarımı, üretim, satış, kurulum, eğitim ve satış sonrası hizmetleri entegre eder. Ürünleri yurt içinde yaygın olarak satılmakta ve Güneydoğu Asya, Güney Amerika, Hindistan, Pakistan, Rusya ve diğer bölgelere ihraç edilmektedir.

GEZİNME
MESAJ
Fiyat Teklifi İsteyin?