0000-00
"Yalıtım Malzemeleri"nden seçilmiştir

Araştırma Arka Planı ve Yenilikler
Elektrikli araç endüstrisinin hızlı gelişimi, tahrik motorlarında kullanılan yalıtım malzemeleri için yüksek sıcaklık ve yüksek yük koşullarında kararlı performans gereksinimlerini artırmıştır. Poliimid (PI), en yüksek sıcaklığa dayanıklı yalıtım boya malzemesi olarak kabul edilir ve mükemmel özellikleri nedeniyle yaygın olarak kullanılır. Ancak, geleneksel PI yalıtım boyalarında öncü poliamid asit çözeltisi, düşük katı madde içeriğinde yüksek viskozite sergilemekte ve çok katmanlı homojen kaplamayı engellemektedir. Ekibimiz yenilikçi bir "gizli" ara strateji önerdi: bütirik asit ve aromatik aminlerin nötralizasyon reaksiyonu ile karboksilik amin tuzu uç sertleştirici hazırlanması ve bunun anhidrit uçlu PMDA-ODA oligomerine eklenmesi. Yüksek sıcaklıkta sertleşme sırasında, ara madde ayrışarak amin gruplarını serbest bırakır ve bu gruplar yüksek moleküler ağırlıklı PI oluşturmak üzere reaksiyona devam eder, böylece düşük viskoziteli işleme ile yüksek performanslı boya filmi gereksinimleri arasında denge sağlanır.

Şekil 1 PI yalıtım boyası hazırlama yolunun şematik diyagramı
Temel Yöntem: Moleküler Tasarım ve Hazırlama Süreci
Monomer oranlarının (ODA, APAB, BA, PMDA) ayarlanmasıyla bir dizi PI kaplama (örneğin, PI-P-0 ila PI-P-4) sentezlendi. "Gizli" ara maddenin eklenmesi, boya çözeltisinin viskozitesini önemli ölçüde azalttı—BA içeriği %5 olduğunda, viskozite 1712 mPa·s'den 835 mPa·s'ye (20°C'de) düştü ve böylece kaplama verimliliği arttı.
Ara madde 180~200°C'de ayrıştı ve PI 300°C'de oluştu. PI'nın termal stabilitesi geleneksel PI ile benzerdi.

Şekil 2 PI Yalıtım Boyasının Görünür Viskozitesi ile BA İçeriği Arasındaki İlişki

Hongxiang mekanik makasları, elektrik malzemesi işleme verimliliğini ve kalitesini artırmak için temel ekipmanlardır. Boyut hassasiyeti ve güvenlik performansı için elektrik endüstrisinin gereksinimlerini karşılamak üzere hassas ve verimli malzeme kesimi sağlarlar. Kesme kenarları pürüzsüz ve çapaksızdır, böylece elektrik ekipmanlarının yalıtım özellikleri garanti altına alınır. Toplu kesim hızlı bir şekilde tamamlanır, bu da üretim verimliliğini önemli ölçüde artırır.
Performans Atılımı: Termal, Mekanik ve Elektriksel Özelliklerin Kapsamlı Optimizasyonu
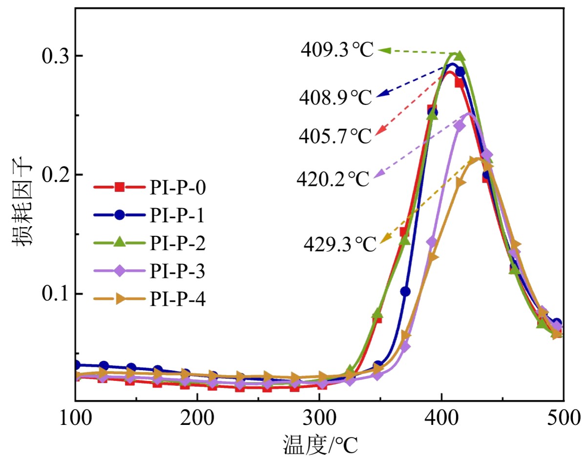
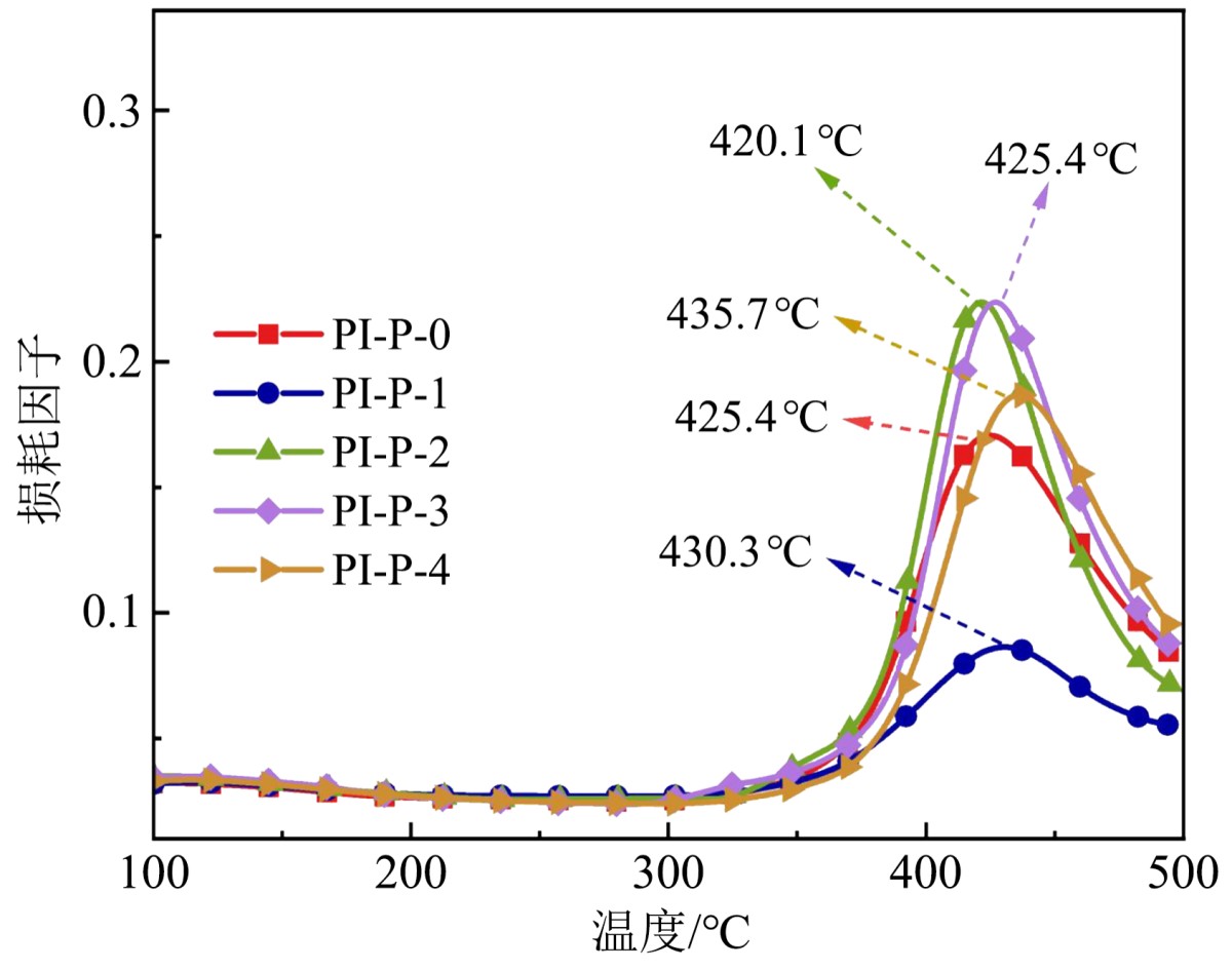
1.Isı direncinde önemli iyileşme
Rijit monomer APAB'nin eklenmesi ve ısıl işlem sıcaklığının artırılmasıyla, filmin cam geçiş sıcaklığı (Tg) 420°C'nin üzerine çıktı. Diferansiyel mekanik analiz (DMA), %40 APAB içeriğinde Tg'nin 429.3°C'ye ulaştığını gösterdi. 450°C ısıl işlem sonrasında, PI-P-1'in Tg'si 430.3°C'ye yükseldi ve bu, 350°C işlemine kıyasla %5.23'lük bir iyileşme sağladı. XPS analizi, yüksek sıcaklıkların moleküler zincir çapraz bağlanmasını teşvik ettiğini ve böylece termal stabiliteyi artırdığını gösterdi.

(a) 350°C'de siklizasyon

(b) 450°C'de siklizasyon
Şekil 3 Farklı sıcaklıklarda hazırlanan yüksek sıcaklığa dayanıklı PI filmin DMA eğrileri
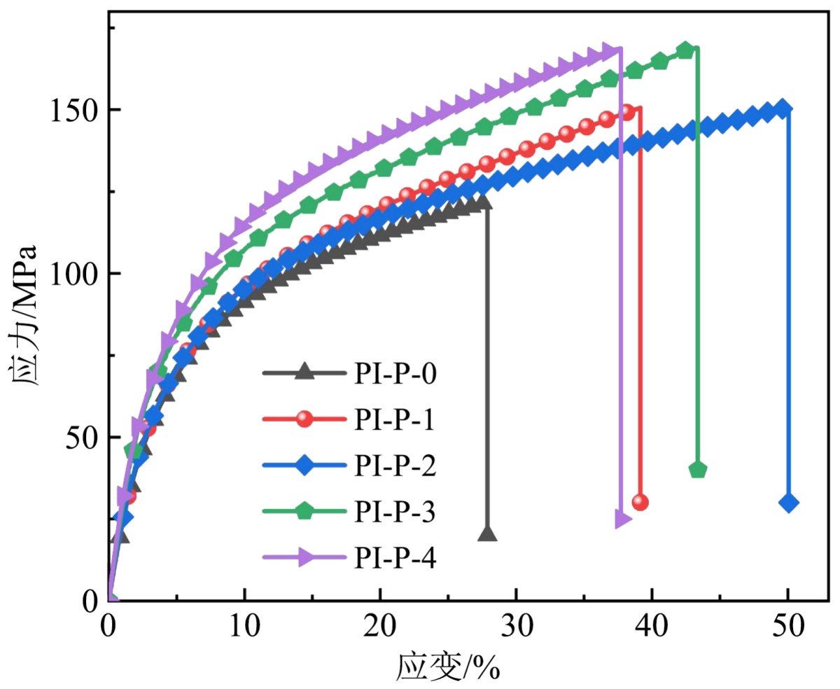
2.Mükemmel mekanik özellikler:
Film çekme dayanımı 147.3 ila 168.5 MPa aralığında, elastik modülü ise 2.5 ila 3.1 GPa arasındadır. APAB'nin eklenmesi moleküler zincir rijitliğini artırır ve sıkı paketlenmeyi teşvik eder; ancak, aşırı APAB (>%30) kopma uzamasını azaltır. PI-P-1 yüksek dayanımı korurken yaklaşık %50 kopma uzaması sergiler, böylece tokluk ve rijitlik arasında denge sağlar.

(a) Çekme dayanımı ve elastik modül

(b) Gerinim-gerilim eğrisi
Şekil 4 Yüksek sıcaklığa dayanıklı PI kaplamanın mekanik özellik test sonuçları
3.Elektriksel özellikler kararlı ve güvenilir performans sergiler:
Oda sıcaklığında, dielektrik sabiti 3.48'in altında (1 kHz), dielektrik kayıp faktörü ise 0.019'dan azdır. Sıcaklık değişim testleri sırasında, PI-P-1 filmi 450°C'de optimum dielektrik sıcaklık stabilitesi gösterir ve ikincil relaksasyon fenomenleri baskılanır. Elektriksel dayanım 304.3 ila 356.5 kV/mm aralığındadır ve PI-P-2 en yüksek değeri (356.5 kV/mm) elde eder, bu da moleküler zincir yığın yoğunluğunun artmasına bağlanır.

(a) dielektrik sabiti

(b) Dielektrik kayıp faktörü

(c) Sıcaklığa bağlı dielektrik eğri

(d) Elektriksel dayanım
Şekil 5 Yüksek sıcaklığa dayanıklı PI kaplamanın elektriksel performans test sonuçları
Moleküler simülasyon mekanizmayı ortaya çıkarır
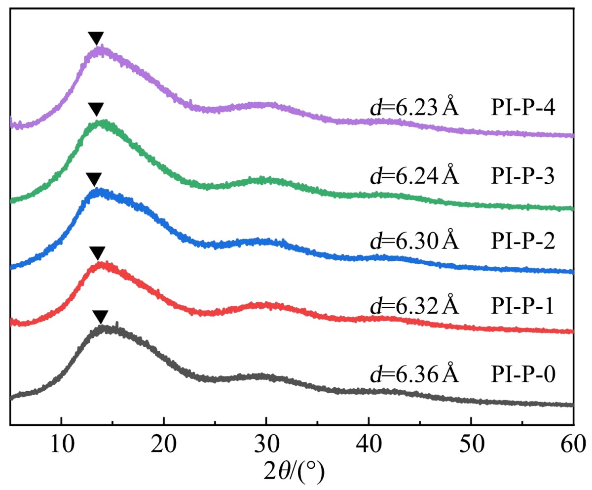
Materials Studio simülasyonları, APAB'nin moleküler zincir hareketliliğini azalttığını (azalmış difüzyon katsayısı) gösterirken, XRD moleküler zincirler arası mesafenin azaldığını ve daha sıkı yığılma olduğunu doğrular. Bu, boya filminin ısı direncinin ve dielektrik stabilitesinin artmasını açıklar.

(a)MSD eğrisi

(b)XRD sonuçları
Şekil 6 Farklı PI Yapısal Modellerinin Ortalama Kare Sapması ve XRD Sonuçları
Sonuç
Bu çalışma, "gizli" bir ara strateji ile PI yalıtım boyasının yüksek viskozite sorununu başarıyla çözerken, boya filminde termal, mekanik ve elektriksel özelliklerin sinerjik optimizasyonunu sağladı. Optimum formülasyon PI-P-1 (%10 APAB içeriği) olağanüstü kapsamlı performans sergiledi: Tg> 420°C, 147.3 MPa çekme dayanımı, dielektrik sabiti <3.48 ve mükemmel işlenebilirlik. Bu başarı, elektrikli araç motorlarının yalıtım sistemi için yeni bir malzeme seçeneği sunar ve yüksek performanslı motorların gelişimini teşvik edebilir.
Gelecekteki çalışmalar, monomer oranlarını daha da optimize edebilir ve endüstriyel ölçekli üretim süreçlerini keşfederek yalıtım malzemelerinde teknolojik yükseltmeleri kolaylaştırabilir.
GaoMi HongXiang Electromechanical Technology Co., Ltd., küresel müşteri hizmetlerinde uzmanlaşmış bir özel girişimdir. Şirket, AI destekli özel makinelerle desteklenen üç temel ürün hattı sunar: güç transformatörü montaj imalatı, elektrik yalıtım kartonu, yalıtım lamine ahşap ve yalıtım bileşeni işleme. Kapsamlı bir sağlayıcı olarak, Ar-Ge tasarımı, üretim, satış, kurulum, eğitim ve satış sonrası hizmetleri entegre eder. Ürünleri yurt içinde yaygın olarak satılır ve Güneydoğu Asya, Güney Amerika, Hindistan, Pakistan, Rusya ve diğer bölgelere ihraç edilir.

GEZİNME
MESAJ
Fiyat Teklifi İsteyin?